Instruções para Ordens e Negociação
As ordens de mercado são executadas imediatamente ao melhor preço disponível no mercado.
- Ordem de compra de mercado : Uma ordem executada ao melhor preço pedido disponível no momento.
- Ordem de venda de mercado : Uma ordem executada ao melhor preço de oferta disponível no momento.
Caso a ordem não possa ser totalmente preenchida a um determinado nível de preço, a parte não preenchida será automaticamente correspondida ao nível de preço disponível seguinte, até que a ordem seja completamente preenchida.
Exemplo : Suponha que o melhor preço de oferta para BTC seja 100 000 USDT e o melhor preço pedido seja 100 001 USDT:
- Ao submeter uma ordem de compra de mercado, esta será preenchida a 100 001 USDT.
- Se o montante disponível nesse preço não for suficiente para preencher a totalidade da sua ordem de compra, a parte remanescente será preenchida a preços pedidos superiores até que a ordem seja totalmente preenchida.
Opções de Submissão de Ordem

- Clique no separador [Mercado] e altere para a zona de ordens correspondente;
- Campo de introdução do montante;
- Estado do botão Comprar/Vender: Desativado quando um dos lados do livro de ordens está vazio. Desativado quando o preço do livro de ordens diverge significativamente do preço de marca. Em qualquer dos casos, o botão aparece esbatido e não responde ao clique.
Histórico de ordens

- As ordens de mercado são apresentadas como "mercado" na coluna do preço da ordem, em vez de um preço específico;
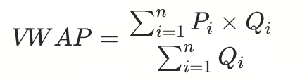
Cálculo do Preço de Execução
- O Preço Médio Ponderado pelo Volume (VWAP) é calculado com base na profundidade do livro de ordens.
- O cálculo do VWAP é aplicado tanto para o lado de compra como para o lado de venda.

$$Pi$$
é o preço de execução da i-ésima negociação
$$Qi$$
é a quantidade executada da i-ésima negociação
$$n$$
é o número total de negociações ou níveis do livro de ordens
Notas:
- Se o livro de ordens desaparecer subitamente durante a submissão de uma ordem, será considerado uma anomalia de mercado ou desaparecimento da contraparte; o sistema indicará que não existe preço executável disponível e a ordem de mercado será cancelada.
- Se uma ordem de mercado consumir toda a profundidade disponível mas ainda ficar com um montante não preenchido, a parte preenchida será registada como Parcialmente preenchida e a parte não preenchida será automaticamente cancelada. Os detalhes da ordem apresentarão o valor preenchido e o preço médio de preenchimento.
- Se um dos lados do livro de ordens estiver vazio, os botões Comprar/Vender aparecerão esbatidos.
- Se o preço do livro de ordens divergir significativamente do preço de marca (±100 % em qualquer direção), o botão correspondente ficará esbatido.
Equipa Gate
10 de setembro de 2025
O seu Portal para as criptomoedas
Negoceie mais de 4,400 criptomoedas de forma segura, rápida, e fácil
Comece hoje mesmo
Registe-se e reivindique até 10 000$ em recompensas de boas-vindas
Convide um amigo e ganhe 40% de comissão
Mantenha-se ligado
Visite o site oficial da Gate
Transfira a App | Versão Desktop da Gate
Siga-nos no X (Twitter) para mais bónus
Participe na nossa comunidade no Telegram para discutir tópicos em tendência
Interaja com a nossa comunidade global para obter os insights mais recentes
Transparência e Segurança
Verifique a nossa Prova de Reserva de 100%